For real estate deed transfer. Name of seller name of buyer.
Guide To Selling Process Of Real Estate Properties In The
Deed of sale real estate property template download now.
Real estate deed of sale. Instant access to 1900 business and legal forms. Check out more on what a deed is consist of and what type of deeds that is best of your use. There are also many special purpose deeds.
A deed is a document that states that one party is transferring his real estate property rights to another. Real estate deed transfer forms are forms for those who wish to transfer all rights of ownership of any property that he or she currently owns to someone else. The deed of absolute sale is used in many real estate sales.
Free form contract of the deed of absolute sale of real estate property. Real estate deed guidelines. Both parties the grantor and the grantee must be in a fair level of capacity in conveying and receiving the property interests.
This document consist of two 2 pages including this page where this acknowledgement is written with every page thereof duly signed by the parties including their instrumental witnesses at the bottom or left margin thereof and seal with notarial seal refers to a deed of sale of real property located in the city of taguig. Download samples of professional document drafts in word doc and excel xls format. A real estate deed can be in the form of a general warranty deed a special warranty deed a quitclaim deed or a bargain and sale deed.
The differences between them are primarily the covenants and warranties conveyed by the grantorthe individual or entity transferring the propertyto the grantee the individual or entity who is receiving it. All parties involved in the signatories must be identified and stated on the deed. The vast majority of real estate transactions use one of four types of deeds to convey title.
Home page affidavit of loss general affidavit acknowled receipt acknowled of debt affidavit of desistance authority to sell contract to sell chattel mortgage contract of lease deed of assignment deed of donation deed of sale vehicle earnest money offer to buy rent to own. Simply fill in the blanks and print in minutes. Property deeds are used to convey real property from a grantor seller to a grantee buyer.
Hereby sell transfer and convey by way of absolute sale unto the said buyer his heirs and assigns the certain parcel of land together with all the improvements found thereon free from all liens and encumbrances of whatever nature including real estate taxes as of the date of this sale. The categories can be further broken down to include rights of survivorship joint tenancy and tenancy in common. A real estate deed must be in a written document.
An example of a situation in which these forms come into play is when a family member wishes to pass down the deed of a home to another relative.
Deed Of Sale With Right To Repurchase
Deed Of Absolute Sale Of Registered Land Deed Land Lot
Assignment Of Real Estate Contract And Sale Agreement Template
Free Contract For Deed Template Best Of Luxury Real Estate Sale
Doc Deed Of Absolute Sale House Lot Atriyo Leodi Salise
28 Deed Of Sale Template Deed Of Acquittance And Discharge
Steps In Transferring An Unregistered Land In The Philippines
Deed Of Sale Of Unregistered Land Sample Deed Marriage
Deed Of Absolute Sale Sample 2 Sale Deed For Car Book Template
Doc Deed Of Absolute Sale Eduardo Bien Jr Academia Edu
Deed Of Absolute Sale Of A Parcel Of Land
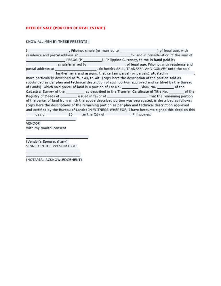
Deed Of Sale Portion Of Real Estate Land Lot Deed
Calameo Affidavit Of Confirmation Of Sale With Lot
Deed Of Sale Real Estate Property Template Word Pdf By
Enhanced Life Estate Deeds Definition And Rules
Contract For Deed Fill Out And Sign Printable Pdf Template Signnow
Document Real Estate Contract Purchase And Sale Agreement Real
Enhanced Life Estate Deeds Definition And Rules
Deed Of Absolute Sale Deed Of Absolute Sale Of Portion Of Land
010418 Deed Of Absolute Spouses Gonzales Accounting Studocu
Property Deed Form Free Downloadable Real Estate Deed Formswift
Deed Of Absolute Sale Danica Alaan Real Estate Broker
How To Write A Contract For A Deed Land Contract With Pictures
8 Land Contract Forms Free Sample Example Format Free
Real Estate Hold Harmless Addendum Acknowledgement Real Estate
Enhanced Life Estate Deeds Definition And Rules
Riceland And Mangoes 2 2 Hectares Irrigated Rice Field And Mango Land
Real Estate Purchase Agreement Create A Free Agreement
Free Warranty Deed Form Create A Warranty Deed In Minutes
Steps In Transferring An Unregistered Land In The Philippines
How To Write A Contract For A Deed Land Contract With Pictures
Deed Of Sale Portion Of Real Estate
Real Estate Deed Forms Downloadable Fill In The Blank Deeds Com
Free Printable Land Contract Forms Word File With Images
5 Ways Of Transferring Or Acquiring Real Estate Property Types Of
Download Real Estate Bill Of Sale Form Pdf Rtf Word
Real Estate Purchase And Sale Agreement In Word And Pdf Formats
Assignment Of Real Estate Contract And Sale Agreement Template
Free 8 Sample Land Contract Forms In Pdf Ms Word
Blumberg Real Estate Forms Mortgages Notes Deeds Hud 1 For Ny
Deed Types For Real Estate Property Purchase By State
How To Write Land Agreement Fill Out And Sign Printable Pdf
Land Contract Forms Free Contract For Deed Form Us Lawdepot
How To Buy Land In The Philippines Toughnickel
Offer To Purchase Real Estate In Word And Pdf Formats Page 2 Of 3
How To Close A Deed Of Trust In House Seller Financing Tutorial
Calameo Tax Deeds For Sale Are They Worth Buying
Download Real Estate Purchase Agreement Style 17 Template For Free
Report Real Estate Investment Docsity
Land Sale Agreement Form Pdf Fill Online Printable Fillable
Free 6 Real Estate Bill Of Sale Forms In Pdf
Real Estate Contract Standard Form Contract Contract Of Sale Png
11 Real Estate Purchase Contract Examples Pdf Word Google
Maine Deed Of Sale By Personal Representative Legal Forms And
Ftp Ftp Kingcounty Gov Water Utrc Covington 20appeal Exhibit 20yb 46 Pdf
11 Real Estate Purchase Contract Examples Pdf Word Google
Illinois Real Estate Contract Fill Online Printable Fillable
Deed Bill Of Sale Property Document Real Estate Png 600x600px
Free Residential Real Estate Purchase Agreements Word Pdf
Buying Process Of Real Estate In The Philippines
Doc How To Transfer Real Estate Titles In The Philippines John
Lot Deed Of Sale Of Land Rights
What Happens At Closing From A Home Buyer Perspective
Free 12 Sample Installment Sales Contracts In Ms Word Pdf Pages
Deeds And Land Records Glynn County Ga Official Website
Blumberg New York Real Estate Contract Forms
Enhanced Life Estate Deeds Definition And Rules
Seller Financing Addendum To Real Estate Purchase Contract
Investing In Real Estate Jane Eyre Studocu
5 Things To Know About Property Titles Titlexchange
Rithwik Communication Stampduty Registration Work And Real
Deed Of Sale Of Unregistered Land Sample
Free 6 Real Estate Deed Forms In Pdf
Commercial Purchase Agreement Fill Online Printable Fillable
Polk County Owned Real Estate For Sale Sale Of In Rem Tax Deed
Set Real Estate Homes Thin Line Royalty Free Stock Image
New Jersey Real Estate Only Power Of Attorney Form Power Of
Unilateral Deed Of Sale Sample Common Law Real Estate
Guide When Buying Real Estate In The Philippines Manuel Cortez
Real Estate Notes As Investment Options Trust Deed Investments
37 Simple Purchase Agreement Templates Real Estate Business
Pdf Legal Certainty On Sale And Purchase Deed Made By The
Arizona Agreement Or Contract For Deed For Sale And Purchase Of
Propy Completes Techcrunch Founder S 1 6m Property Sale On
Denver Real Estate Attorney By Evaa Mendes Issuu
Printable Deed Of Absolute Sale Doc
Massachusetts Offer To Purchase Real Estate A Binding Contract
Notice Of Sale Of Real Estate Under Deed Of Trust Re 20 Sp 01
Flat Symbols About Real Estate Sale Stock Vector Royalty Free
Ftp Ftp Kingcounty Gov Water Utrc Covington 20appeal Exhibit 20yb 46 Pdf
Free Real Estate Only Power Of Attorney Form Illinois Pdf
14 Real Estate Contract Templates Word Pages Docs Download
Real Estate Agent Resume Samples Qwikresume






Komentar
Posting Komentar